Introduction
Head and neck cancer (HNC) is the sixth most common cancer, with more than 68,000 patients reported to be newly diagnosed in the United States in 2021 [1]. The 5-year survival rate for HNC ranges from 30% to 70%, contingent upon the tumor's stage and site [2]. This heterogeneity arises from malignant cells harboring diverse genotypes, phenotypes, and interactions within the tumor microenvironment (TME) within each individual tumor, significantly contributing to tumorigenesis and malignant progression, presenting a major obstacle for cancer therapeutics [3]. Cellular senescence, characterized by a state of cell-cycle arrest, can be induced by various profound internal or external stresses, including oncogenic activation or DNA damage from chemotherapeutic agents [4]. The crucial role of senescent cells as a pivotal component of the tumor microenvironment (TME) has been highlighted in Hallmarks of Cancer [3]. Over time, numerous researchers have regarded cellular senescence as a mechanism against malignancy, leading to the conversion of cancer cells into senescent cells [5]. However, emerging evidence in recent years has revealed the dualistic roles of senescent cells, which can either impede or promote tumor development and malignant progression, depending on the specific conditions under which they are induced [6, 7]. In particular, senescent cells secrete several cytokines and growth factors known as the senescence-associated secretory phenotype (SASP). It has been reported that the SASP fosters a close relationship between senescent cells and the TME, inducing immunosuppression and inflammation to promote tumor growth and potentially influencing the response to immunotherapy [8–10]. Moreover, the targeting of senescence process has emerged as a promising strategy in cancer therapeutics [11]. Nevertheless, our current understanding of the interaction between senescence and TME remains limited. Specifically, it remains unclear whether the senescence related TME characteristics observed in patients with head and neck squamous cell carcinoma (HNSC) can serve as predictive biomarkers for clinical prognosis and therapeutic response.
In this study, we identified prognostic senescence-related TME genes (PSTGs) through a comprehensive analysis involving gene-gene network, differential expression analysis, and Cox regression analysis. Furthermore, we conducted clustering analysis using the expression of these genes. Subsequently, we developed a novel risk score model based on senescence related TME core genes (STCGs) to predict patient prognosis and response to immunotherapy. Importantly, the predictive capability of this model was validated in independent cohorts. Additionally, we explored the enrichment patterns of these core genes at the HNSC single-cell level.
Results
Discussion
The long-lasting impact of senescent cells on tissue homeostasis has gained prominence, particularly with the identification of the SASP [15]. SASP serves a dual role by not only reinforcing cellular senescence through autocrine signaling but also mediating paracrine effects [16]. Through paracrine signaling, SASP factors have the capability to remodel tissues, impacting the proliferation and migration abilities of neighboring cells such as stromal cells, immune cells, and cancer cells [4, 17]. In addition, SASP factors possess the potential to stimulate angiogenesis and augment the immunosuppressive microenvironment [5]. Coppé et al. found that SASP factors selectively act on immune cells and stromal cells present in the TME, triggering paracrine senescence [18]. This process promotes cancer cell epithelial-mesenchymal transition (EMT) and enhances invasiveness. However, the knowledge regarding the link between cellular senescence in the stroma and TME has remained significantly limited thus far. Furthermore, the impact of cellular senescence associated TME on the efficacy of cancer treatments, including immunotherapy, and its potential as a prognostic indicator remains elusive. To the best of our knowledge, this is the first study to offer a comprehensive evaluation of the senescence related TME status by integrating senescence related TME genes through a gene-gene network and clustering. Furthermore, we have introduced a novel risk model that utilizes a selected gene set to predict prognosis and confirmed the expression of STCGs in immune cells at single-cell levels.
Initially, we identified a set of genes from the intersection in the lists of TAS genes, TME related genes, and immune-related genes. Leveraging these genes as seed nodes, we successfully derived interconnected gene lists within the same network through gene-gene interactions. This proposed model holds the potential to enhance the accuracy and efficacy of selected genes associated with senescence in the TME.
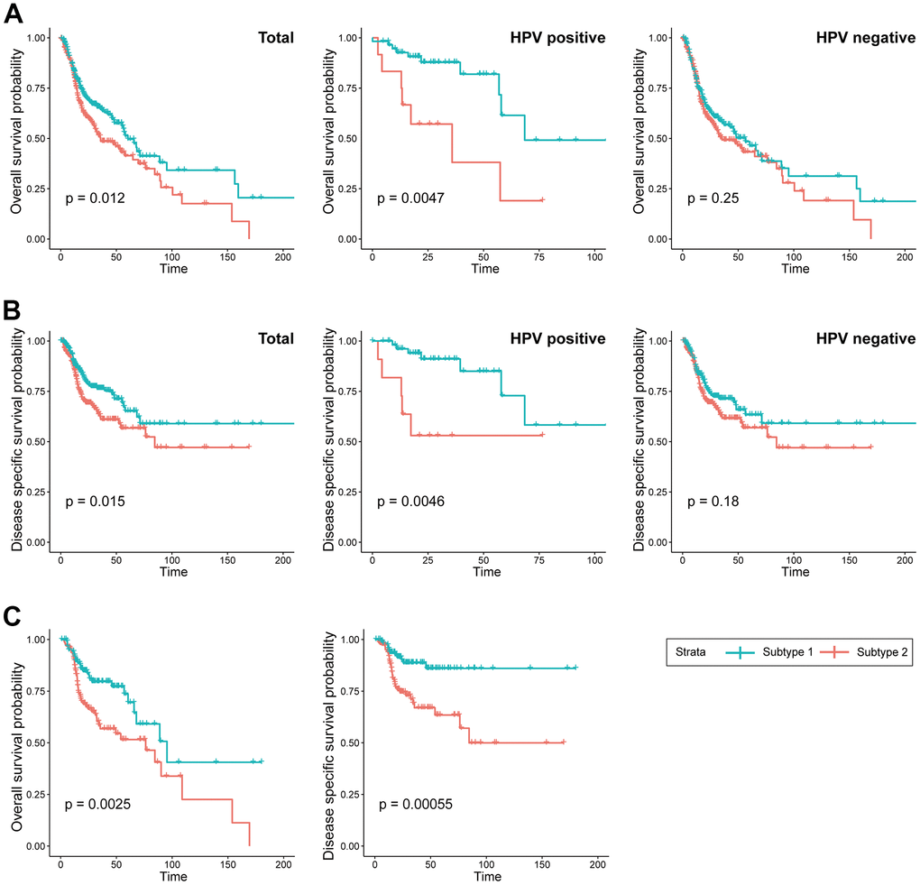
Through the application of consensus clustering using PSTGs, we identified two distinct subtypes. These subtypes exhibited significant differences in mutation profiles, methylation patterns, immune profiles reflecting the TME status, prognosis, and immunotherapy response. Subgroup 1 is more aggressive compared with tumor in subgroup 2. Interestingly, in the analysis of HNSC patients who received radiotherapy, the prognosis of patients in subgroup 1 was worse, and the difference in prognosis between subtypes increased more significantly. This observation suggests that the expression of radiation-induced senescence related genes may have implications for prognosis in the context of this study. The higher mutation rate of the TP53 gene may be implicated in subtype 1 concerning senescence related TME. The loss of p53 function promotes chromosomal instability, leading cells to undergo either senescence or apoptosis through direct and indirect mechanisms [19]. Numerous studies have indicated the significance of DNA methylation patterns in senescence as a pivotal factor influencing tumor behavior [20, 21]. In our results, subtype 1 patients had significantly hypomethylation in several CpG sites than subtype 2 patients and methylation-silenced genes in subtype 1 were enriched in transcription factor target, especially ZNF528 target genes. The data suggest that epigenetic silencing of ZNF528 could be an important factor in the determination of senescence related TME subtype in HNSC.
Furthermore, we observed the significant difference of immune cell profile and TME status between the two subtypes. The results showed that subtype 2 showed significant increases in the infiltration of immune cells such as the activated CD4+ T cells, B cell and macrophages. In addition, there was a significant difference in stromal score, immune score and ESTIAMTE score between two subgroups. The results of this study provide evidence supporting the association between senescence related TME subtypes and distinct TME features. In this context, analysis of functional differences in DEGs indicates that subtype 2 is closely related primarily to immune responses, defense responses, regulation of lymphocyte activation, and crosstalk between dendritic cells and natural killer cells. Interestingly, in the comparison of ssGSEA between the two subgroups, the SASP and senescence gene sets exhibited contradictory findings. It is well-established that senescent cells typically release SASP factors, however, we observed a decrease in SASP expression in subtype 1, characterized by high expression of senescence gene sets. This discrepancy can be attributed to the fact that SASP-associated genes may predominantly reflect immune cell activity within the tumor microenvironment (TME). Conversely, the upregulation of the senescence gene set likely arises from an augmented occurrence of cellular senescence or impaired immune-mediated clearance of senescent cells [22].
Furthermore, we established STCGs including twenty-one genes (OLR1, VEGFC, ITGA5, P4HA1, TINAGL1, TBX3, FGF7, PPARG, EDA2R, CDKN2A, ADAM33, TNFRSF4, SOCS1, TNFRSF25, MYO1G, CD38, FCRLA, EGFL6, ICOS, COL8A2, LYZ) were selected by performing the LASSO Cox regression algorithm for predicting the prognosis and therapy response of HNSC patients. Previous studies have provided some level of understanding regarding the biological functions of the genes encompassed in STCGs. Peroxisome proliferator-activated receptors (PPARs) are ligand-activated transcription factors that belong to the nuclear hormone receptor superfamily [23]. PPARG is a key regulator of lipid metabolism in diverse immune cells, thus exerting a significant influence on immune regulation [24, 25]. Notably, recent investigations have revealed an unfavorable prognostic association between overexpression of PPARG and certain cancer types (e.g., prostate cancer, esophageal cancer), particularly those linked to obesity [26, 27]. Given the highest coefficient of PPARG as a risk core gene in our findings, further exploration into the interplay between lipid metabolism and the senescence process in cancer is warranted [28]. Furthermore, consistent with our findings, previous studies have reported that OLR1 and FGF7 are associated with adverse cancer prognosis due to alterations in immune response and TME status [29–31].
In this study, we have validated the predictive capability of the risk score obtained from STCGs across two independent cohorts. This validation emphasizes the robustness and reliability of the model based on STCGs. Notably, a significant disparity in HPV status was observed between the two classified subtypes, leading to the anticipation that our risk model would solely exhibit efficacy in HPV-positive cancer. Surprisingly, in the validation dataset (GSE41613), our developed model demonstrated prognostic capability even in HPV-negative oral cavity cancer patients. Furthermore, in the dataset comprising Asian patients (KHUMC cohort) with different ancestral backgrounds than the TCGA cohort, it was observed that the risk score differentiated the prognosis, although statistical significance was not attained.
To evaluate the expression of STCGs in TME cells, we identified TME cell populations using scRNA-seq data. We found a particularly high expression of risk STCGs in fibroblast and endothelial cells. The bioactive Vascular endothelial growth factor (VEGF) secreted by senescent fibroblasts has a significant impact on tumor angiogenesis and the progression of cancer [32]. Additionally, studies have demonstrated that senescent endothelial cells contribute to the enhanced aggressiveness of breast cancer cells [33]. Thus, our findings strongly suggest that cellular senescence in these specific cell types within TME exhibits pro-tumor properties. Conversely, a notable upregulation in the expression of protective STCGs was observed specifically in T cells, indicating the potential of these immune cells to exert tumor control mechanisms via senescence.
Our study has several limitations. Firstly, despite utilizing public data for the development and validation of risk models associated with senescence, it is imperative to validate these models using prospective data from multicenter studies to enhance their applicability. Secondly, the transcriptional profiles analyzed in this study were generated on RNA sequencing, and the gene expression of the identified STCGs were further confirmed in single cell RNA sequencing in HNSCC tissues. However, several protein products in the risk model were not validated in either HNSCC cell lines or HNSC tumor tissues. Our future research will contain some experiments such as immunohistochemical testing or western blot for expression of STCG in HNSCC tissue. Thirdly, while a risk model based on STCGs has been established, there is a need to improve its diagnostic performance by integrating relevant clinical parameters. Finally, although hypotheses regarding the functions and mechanisms of senescence-associated genes within the TME have been proposed, further comprehensive investigations are essential to unravel the specific mechanisms underlying their actions.
In conclusion, this study comprehensively investigated the prognostic and immunological features of senescence related TME genes in HNSC. By leveraging these senescence related TME genes, we successfully developed a risk model to predict HNSC prognosis and immunotherapy response, which was robustly validated using external transcriptome datasets. These findings provided evidence for the role of senescence in the TME and highlighted the potential of senescence-related biomarkers as promising therapeutic targets.
Materials and Methods
Data acquisition and processing
RNA-seq derived gene expression data (N=520) which transformed into transcripts per kilobase million (TPM), somatic mutation data (N=511), Human Methylation 450 data (N=528) and clinicopathologic data for HNSC were downloaded from the TCGA database using the R package ‘TCGAbiolinks’ (version 3.15) [34] Microarray gene expression data (GSE41613, N=167) from GEO database were obtained and processed to normalized matrix data by GEOquery R package and used as a validation dataset [35].
A total of 1,889 Tumor associated senescence (TAS) were selected based on well-established databases and published literature, including MSigDB (http://www.gsea-msigdb.org/gsea/msigdb/index.jsp), SenMayo gene set and, The Human Ageing Genomic Resources (HAGR) [12, 36]. The immune-related genes (N= 4,723) were downloaded from ImmPort database [37]. TME-related genes were obtained from several previously published studies and selected by removing duplicates [38]. The gene lists were expanded by searching for senescence related TME genes through network analysis with a gene-gene network since there may be genes that have not yet been investigated among the collected gene lists in this study. A gene-gene network is a weighted graph representing genes as nodes and connections between genes as edges. The edges were measured by the magnitude of the correlation coefficients, indicating the similarity between two genes in the network. Network-based label propagations were performed by employing graph-based semi-supervised learning (SSL) to investigate the potentially associated genes related to prognostic senescence, propagating label information on query nodes to unlabeled nodes along with edges [39].
KHUMC cohort
Between January 2011 and January 2019, we enrolled 72 patients diagnosed with HNSC at the Kyung Hee University Medical Center (KHUMC) who received curative treatment. The cohort, referred to as the KHUMC cohort, was prospectively followed up for over 5 years following treatment, during which their clinical data, including age, sex, smoking history, and treatment type, were obtained. Furthermore, survival and recurrence information were retrospectively assessed for each patient.
Tissue samples were collected immediately after surgery or biopsy from patients diagnosed with HNSC. Total RNA was extracted from these samples using The TRIzol® Reagent. To generate cDNA, the extracted total RNA was reverse transcribed using the Tetro cDNA Synthesis Kit (Bioline, London, UK) according to the manufacturer’s protocol. Subsequently, the isolated total RNA samples were sent to Applied Biosystems Macrogen Korea for sequencing, pre-processing, and transcriptome analysis. The concentration of total RNA was determined using Quant-IT RiboGreen® (Invitrogen, #R11490). Only high-quality RNA preparations, with an RNA Integrity Number (RIN) greater than 7.0, were selected for RNA library construction. Each sample was independently used to prepare a library with 1 μg of total RNA, employing the Illumina TruSeq® Stranded mRNA Sample Prep Kit (Illumina Inc., #RS-122-2101). The libraries were quantified using KAPA Library Quantification Kits for Illumina Sequencing platforms, following the qPCR Quantification Protocol Guide (Kapa Biosystems, Wilmington, MA, USA, #KK4854), and their quality was assessed using the TapeStation D1000 ScreenTape (Agilent Technologies, Palo Alto, CA, USA, #5067-5582). Indexed libraries were then submitted to an Illumina NovaSeq (Illumina Inc.), and Macrogen Inc. (Seoul, Korea) performed paired-end (2 × 100 bp) sequencing.
Estimation of the immune cell landscape, immunophenoscore and prediction of immunotherapy responsiveness
CIBERSORT utilized a gene expression signature matrix derived from purified immune cell populations to deconvolute the composition of complex tissue samples [43]. It leverages support vector regression and an artificial immune system-like algorithm to estimate the relative proportions of different immune cell types in HNSC sample. The accuracy of immune cell fractionation was considered significant when the CIBERSORT output achieved a p-value of less than 0.05. For each HNSC sample, the stromal and immune scores were estimated by applying the ESTIMATE algorithm to the normalized expression matrix [44]. Data on individual immunophenoscore (IPS) for HNSC patients were obtained by downloading from the Cancer Immunome Atlas (https://tcia.at/home).
To validate the predicted treatment responsiveness, we employed the TIDE algorithm, which utilizes gene expression profiles as a computational method for predicting the efficacy of immune checkpoint blockade [45]. We also calculated the M2 tumor-associated macrophages (TAMs), tumor-associated fibroblasts (CAFs), and myeloid-derived suppressor cells (MDSCs), the dysfunction score of tumor-infiltrating cytotoxic T lymphocytes (CTLs) (T cell dysfunction), and the exclusion score of CTLs by immunosuppressive factors (T cell exclusion) through TIDE analysis.
Single-cell RNA-seq data
To understand the expression of STCGs in different cell types, we applied Tumor Immune Single Cell Hub (TISCH, http://tisch.comp-genomics.org/). TISCH is an online database dedicated to the TME and comprises a comprehensive collection of 76 tumor datasets encompassing 27 types of cancer, including single-cell transcriptome profiles comprising nearly 2 million cells. In our study, we focused on examining the expression patterns of the STCGs in HNSC sample. To accomplish this, we utilized GSE103322, a HNSC single-cell RNA sequencing dataset, which is part of the extensive data available in the TISCH database [46]. GSE103322 contained data of 5,902 cells derived from 18 patients with oral cavity tumor. We explored the expression of the STCGs in HNSC at single-cell level and identified the distribution of expression of senescence-related TME core genes in GSE103322. The expression of STCGs was collapsed by mean value, and the gene expression level displayed using UMAP and violin plots was quantified by the normalized values.
Supplementary Materials
Author Contributions
YCL conceived, designed and supervised the study, developed the methodology, acquired data, conducted data analysis and interpretation, and wrote the manuscript. YN acquired, analyzed and interpreted data, and wrote the manuscript. MK, SIK and JL were involved in the development of the methodology, acquired data, and reviewed the manuscript. YE and DK contributed to the conception and design of the study as well as to the development of the methodology, provided facilities, performed data analysis and interpretation, and participated in writing the manuscript. All authors read and approved the final manuscript.
Conflicts of Interest
The authors declare that they have no conflicts of interest.
Ethical Statement and Consent
The experiments were undertaken with the understanding and written consent of each subject. The study methodologies were approved by our institutional review board (IRB: 2018-05-046-12) and were conducted according to the principles of the Declaration of Helsinki.
Funding
This work was supported by the BK21 plus program “AgeTech-Service Convergence Major” through the National Research Foundation (NRF) funded by the Ministry of Education of Korea [5120200313836] and the National Research Foundation of Korea (NRF) grant funded by the Korean government (MSIT) [RS-2023-00241230]. This work was also funded by National Library of Medicine (NLM) R01 LM012535.
References
- 1. Siegel RL, Miller KD, Fuchs HE, Jemal A. Cancer Statistics, 2021. CA Cancer J Clin. 2021; 71:7–33. https://doi.org/10.3322/caac.21654 [PubMed]
- 2. Nederland IK. Netherlands Comprehensive Cancer Organisation. Neth Cancer Regist Age Gend. 2014.
- 3. Hanahan D. Hallmarks of Cancer: New Dimensions. Cancer Discov. 2022; 12:31–46. https://doi.org/10.1158/2159-8290.CD-21-1059 [PubMed]
- 4. Gorgoulis V, Adams PD, Alimonti A, Bennett DC, Bischof O, Bishop C, Campisi J, Collado M, Evangelou K, Ferbeyre G, Gil J, Hara E, Krizhanovsky V, et al. Cellular Senescence: Defining a Path Forward. Cell. 2019; 179:813–27. https://doi.org/10.1016/j.cell.2019.10.005 [PubMed]
- 5. Lee S, Schmitt CA. The dynamic nature of senescence in cancer. Nat Cell Biol. 2019; 21:94–101. https://doi.org/10.1038/s41556-018-0249-2 [PubMed]
- 6. Wang B, Kohli J, Demaria M. Senescent Cells in Cancer Therapy: Friends or Foes? Trends Cancer. 2020; 6:838–57. https://doi.org/10.1016/j.trecan.2020.05.004 [PubMed]
- 7. Kowald A, Passos JF, Kirkwood TB. On the evolution of cellular senescence. Aging Cell. 2020; 19:e13270. https://doi.org/10.1111/acel.13270 [PubMed]
- 8. Xu C, Xie N, Su Y, Sun Z, Liang Y, Zhang N, Liu D, Jia S, Xing X, Han L, Li G, Tong T, Chen J. HnRNP F/H associate with hTERC and telomerase holoenzyme to modulate telomerase function and promote cell proliferation. Cell Death Differ. 2020; 27:1998–2013. https://doi.org/10.1038/s41418-019-0483-6 [PubMed]
- 9. Jackson JG, Pant V, Li Q, Chang LL, Quintás-Cardama A, Garza D, Tavana O, Yang P, Manshouri T, Li Y, El-Naggar AK, Lozano G. p53-mediated senescence impairs the apoptotic response to chemotherapy and clinical outcome in breast cancer. Cancer Cell. 2012; 21:793–806. https://doi.org/10.1016/j.ccr.2012.04.027 [PubMed]
- 10. Coppé JP, Patil CK, Rodier F, Sun Y, Muñoz DP, Goldstein J, Nelson PS, Desprez PY, Campisi J. Senescence-associated secretory phenotypes reveal cell-nonautonomous functions of oncogenic RAS and the p53 tumor suppressor. PLoS Biol. 2008; 6:2853–68. https://doi.org/10.1371/journal.pbio.0060301 [PubMed]
- 11. Calcinotto A, Kohli J, Zagato E, Pellegrini L, Demaria M, Alimonti A. Cellular Senescence: Aging, Cancer, and Injury. Physiol Rev. 2019; 99:1047–78. https://doi.org/10.1152/physrev.00020.2018 [PubMed]
- 12. Saul D, Kosinsky RL, Atkinson EJ, Doolittle ML, Zhang X, LeBrasseur NK, Pignolo RJ, Robbins PD, Niedernhofer LJ, Ikeno Y, Jurk D, Passos JF, Hickson LJ, et al. A new gene set identifies senescent cells and predicts senescence-associated pathways across tissues. Nat Commun. 2022; 13:4827. https://doi.org/10.1038/s41467-022-32552-1 [PubMed]
- 13. Charoentong P, Finotello F, Angelova M, Mayer C, Efremova M, Rieder D, Hackl H, Trajanoski Z. Pan-cancer Immunogenomic Analyses Reveal Genotype-Immunophenotype Relationships and Predictors of Response to Checkpoint Blockade. Cell Rep. 2017; 18:248–62. https://doi.org/10.1016/j.celrep.2016.12.019 [PubMed]
- 14. Walter V, Yin X, Wilkerson MD, Cabanski CR, Zhao N, Du Y, Ang MK, Hayward MC, Salazar AH, Hoadley KA, Fritchie K, Sailey CJ, Weissler MC, et al. Molecular subtypes in head and neck cancer exhibit distinct patterns of chromosomal gain and loss of canonical cancer genes. PLoS One. 2013; 8:e56823. https://doi.org/10.1371/journal.pone.0056823 [PubMed]
- 15. Kuilman T, Michaloglou C, Vredeveld LC, Douma S, van Doorn R, Desmet CJ, Aarden LA, Mooi WJ, Peeper DS. Oncogene-induced senescence relayed by an interleukin-dependent inflammatory network. Cell. 2008; 133:1019–31. https://doi.org/10.1016/j.cell.2008.03.039 [PubMed]
- 16. Acosta JC, O’Loghlen A, Banito A, Guijarro MV, Augert A, Raguz S, Fumagalli M, Da Costa M, Brown C, Popov N, Takatsu Y, Melamed J, d’Adda di Fagagna F, et al. Chemokine signaling via the CXCR2 receptor reinforces senescence. Cell. 2008; 133:1006–18. https://doi.org/10.1016/j.cell.2008.03.038 [PubMed]
- 17. Faget DV, Ren Q, Stewart SA. Unmasking senescence: context-dependent effects of SASP in cancer. Nat Rev Cancer. 2019; 19:439–53. https://doi.org/10.1038/s41568-019-0156-2 [PubMed]
- 18. Coppé JP, Desprez PY, Krtolica A, Campisi J. The senescence-associated secretory phenotype: the dark side of tumor suppression. Annu Rev Pathol. 2010; 5:99–118. https://doi.org/10.1146/annurev-pathol-121808-102144 [PubMed]
- 19. He Q, Au B, Kulkarni M, Shen Y, Lim KJ, Maimaiti J, Wong CK, Luijten MN, Chong HC, Lim EH, Rancati G, Sinha I, Fu Z, et al. Chromosomal instability-induced senescence potentiates cell non-autonomous tumourigenic effects. Oncogenesis. 2018; 7:62. https://doi.org/10.1038/s41389-018-0072-4 [PubMed]
- 20. Xie W, Kagiampakis I, Pan L, Zhang YW, Murphy L, Tao Y, Kong X, Kang B, Xia L, Carvalho FL, Sen S, Chiu Yen RW, Zahnow CA, et al. DNA Methylation Patterns Separate Senescence from Transformation Potential and Indicate Cancer Risk. Cancer Cell. 2018; 33:309–21.e5. https://doi.org/10.1016/j.ccell.2018.01.008 [PubMed]
- 21. Cruickshanks HA, McBryan T, Nelson DM, Vanderkraats ND, Shah PP, van Tuyn J, Singh Rai T, Brock C, Donahue G, Dunican DS, Drotar ME, Meehan RR, Edwards JR, et al. Senescent cells harbour features of the cancer epigenome. Nat Cell Biol. 2013; 15:1495–506. https://doi.org/10.1038/ncb2879 [PubMed]
- 22. Takasugi M, Yoshida Y, Hara E, Ohtani N. The role of cellular senescence and SASP in tumour microenvironment. FEBS J. 2023; 290:1348–61. https://doi.org/10.1111/febs.16381 [PubMed]
- 23. Mangelsdorf DJ, Thummel C, Beato M, Herrlich P, Schütz G, Umesono K, Blumberg B, Kastner P, Mark M, Chambon P, Evans RM. The nuclear receptor superfamily: the second decade. Cell. 1995; 83:835–9. https://doi.org/10.1016/0092-8674(95)90199-x [PubMed]
- 24. Banno A, Reddy AT, Lakshmi SP, Reddy RC. PPARs: Key Regulators of Airway Inflammation and Potential Therapeutic Targets in Asthma. Nucl Receptor Res. 2018; 5:101306. https://doi.org/10.11131/2018/101306 [PubMed]
- 25. Oh YM, Mahar M, Ewan EE, Leahy KM, Zhao G, Cavalli V. Epigenetic regulator UHRF1 inactivates REST and growth suppressor gene expression via DNA methylation to promote axon regeneration. Proc Natl Acad Sci USA. 2018; 115:E12417–26. https://doi.org/10.1073/pnas.1812518115 [PubMed]
- 26. Siltari A, Syvälä H, Lou YR, Gao Y, Murtola TJ. Role of Lipids and Lipid Metabolism in Prostate Cancer Progression and the Tumor’s Immune Environment. Cancers (Basel). 2022; 14:4293. https://doi.org/10.3390/cancers14174293 [PubMed]
- 27. Ma S, Zhou B, Yang Q, Pan Y, Yang W, Freedland SJ, Ding LW, Freeman MR, Breunig JJ, Bhowmick NA, Pan J, Koeffler HP, Lin DC. A Transcriptional Regulatory Loop of Master Regulator Transcription Factors, PPARG, and Fatty Acid Synthesis Promotes Esophageal Adenocarcinoma. Cancer Res. 2021; 81:1216–29. https://doi.org/10.1158/0008-5472.CAN-20-0652 [PubMed]
- 28. Trayssac M, Hannun YA, Obeid LM. Role of sphingolipids in senescence: implication in aging and age-related diseases. J Clin Invest. 2018; 128:2702–12. https://doi.org/10.1172/JCI97949 [PubMed]
- 29. Huang T, Wang L, Liu D, Li P, Xiong H, Zhuang L, Sun L, Yuan X, Qiu H. FGF7/FGFR2 signal promotes invasion and migration in human gastric cancer through upregulation of thrombospondin-1. Int J Oncol. 2017; 50:1501–12. https://doi.org/10.3892/ijo.2017.3927 [PubMed]
- 30. Shang A, Zhou C, Bian G, Chen W, Lu W, Wang W, Li D. miR-381-3p restrains cervical cancer progression by downregulating FGF7. J Cell Biochem. 2019; 120:778–89. https://doi.org/10.1002/jcb.27438 [PubMed]
- 31. González-Chavarría I, Fernandez E, Gutierrez N, González-Horta EE, Sandoval F, Cifuentes P, Castillo C, Cerro R, Sanchez O, Toledo JR. LOX-1 activation by oxLDL triggers an epithelial mesenchymal transition and promotes tumorigenic potential in prostate cancer cells. Cancer Lett. 2018; 414:34–43. https://doi.org/10.1016/j.canlet.2017.10.035 [PubMed]
- 32. Lee YI, Choi S, Roh WS, Lee JH, Kim TG. Cellular Senescence and Inflammaging in the Skin Microenvironment. Int J Mol Sci. 2021; 22:3849. https://doi.org/10.3390/ijms22083849 [PubMed]
- 33. Hwang HJ, Lee YR, Kang D, Lee HC, Seo HR, Ryu JK, Kim YN, Ko YG, Park HJ, Lee JS. Endothelial cells under therapy-induced senescence secrete CXCL11, which increases aggressiveness of breast cancer cells. Cancer Lett. 2020; 490:100–10. https://doi.org/10.1016/j.canlet.2020.06.019 [PubMed]
- 34. Colaprico A, Silva TC, Olsen C, Garofano L, Cava C, Garolini D, Sabedot TS, Malta TM, Pagnotta SM, Castiglioni I, Ceccarelli M, Bontempi G, Noushmehr H. TCGAbiolinks: an R/Bioconductor package for integrative analysis of TCGA data. Nucleic Acids Res. 2016; 44:e71. https://doi.org/10.1093/nar/gkv1507 [PubMed]
- 35. Davis S, Meltzer PS. GEOquery: a bridge between the Gene Expression Omnibus (GEO) and BioConductor. Bioinformatics. 2007; 23:1846–7. https://doi.org/10.1093/bioinformatics/btm254 [PubMed]
- 36. Tacutu R, Thornton D, Johnson E, Budovsky A, Barardo D, Craig T, Diana E, Lehmann G, Toren D, Wang J, Fraifeld VE, de Magalhães JP. Human Ageing Genomic Resources: new and updated databases. Nucleic Acids Res. 2018; 46:D1083–90. https://doi.org/10.1093/nar/gkx1042 [PubMed]
- 37. Bhattacharya S, Andorf S, Gomes L, Dunn P, Schaefer H, Pontius J, Berger P, Desborough V, Smith T, Campbell J, Thomson E, Monteiro R, Guimaraes P, et al. ImmPort: disseminating data to the public for the future of immunology. Immunol Res. 2014; 58:234–9. https://doi.org/10.1007/s12026-014-8516-1 [PubMed]
- 38. Wen Y, Guo G, Yang L, Chen L, Zhao D, He X, Zhang R, Huang Z, Wang G, Zhang L. A tumor microenvironment gene set-Based prognostic signature for non-small-cell lung cancer. Front Mol Biosci. 2022; 9:849108. https://doi.org/10.3389/fmolb.2022.849108 [PubMed]
- 39. Hu K, Xiang J, Yu YX, Tang L, Xiang Q, Li JM, Tang YH, Chen YJ, Zhang Y. Significance-based multi-scale method for network community detection and its application in disease-gene prediction. PLoS One. 2020; 15:e0227244. https://doi.org/10.1371/journal.pone.0227244 [PubMed]
- 40. Wilkerson MD, Hayes DN. ConsensusClusterPlus: a class discovery tool with confidence assessments and item tracking. Bioinformatics. 2010; 26:1572–3. https://doi.org/10.1093/bioinformatics/btq170 [PubMed]
- 41. Hänzelmann S, Castelo R, Guinney J. GSVA: gene set variation analysis for microarray and RNA-seq data. BMC Bioinformatics. 2013; 14:7. https://doi.org/10.1186/1471-2105-14-7 [PubMed]
- 42. Friedman J, Hastie T, Tibshirani R. Regularization Paths for Generalized Linear Models via Coordinate Descent. J Stat Softw. 2010; 33:1–22. https://doi.org/10.18637/jss.v033.i01 [PubMed]
- 43. Newman AM, Liu CL, Green MR, Gentles AJ, Feng W, Xu Y, Hoang CD, Diehn M, Alizadeh AA. Robust enumeration of cell subsets from tissue expression profiles. Nat Methods. 2015; 12:453–7. https://doi.org/10.1038/nmeth.3337 [PubMed]
- 44. Yoshihara K, Shahmoradgoli M, Martínez E, Vegesna R, Kim H, Torres-Garcia W, Treviño V, Shen H, Laird PW, Levine DA, Carter SL, Getz G, Stemke-Hale K, et al. Inferring tumour purity and stromal and immune cell admixture from expression data. Nat Commun. 2013; 4:2612. https://doi.org/10.1038/ncomms3612 [PubMed]
- 45. Jiang P, Gu S, Pan D, Fu J, Sahu A, Hu X, Li Z, Traugh N, Bu X, Li B, Liu J, Freeman GJ, Brown MA, et al. Signatures of T cell dysfunction and exclusion predict cancer immunotherapy response. Nat Med. 2018; 24:1550–8. https://doi.org/10.1038/s41591-018-0136-1 [PubMed]
- 46. Sun D, Wang J, Han Y, Dong X, Ge J, Zheng R, Shi X, Wang B, Li Z, Ren P, Sun L, Yan Y, Zhang P, et al. TISCH: a comprehensive web resource enabling interactive single-cell transcriptome visualization of tumor microenvironment. Nucleic Acids Res. 2021; 49:D1420–30. https://doi.org/10.1093/nar/gkaa1020 [PubMed]








