Introduction
Mortality on the liver transplant (LT) waiting list continues to be partly driven by the disconnect between organ supply and demand. Approximately, one out of 5 patients are removed from the LT waitlist due to death or medical unsuitability [1]. Moreover, the waitlist population has changed significantly over the last decade. The mean age of newly listed patients has increased from 51.2 years to 55.7 years between 2002 and 2014 [2]. While the proportion of older (aged ≥65 years) candidates has substantially increased on waitlist from 8.9% to 20.8% over last decade [1]. Furthermore, Non-alcoholic steatohepatitis (NASH) cirrhosis has now emerged as a leading indication for liver transplantation (LT) in North America [3, 4]. NASH patients carry significant comorbid disease burden such as diabetes, hypertension, ischemic heart disease (IHD) and chronic kidney disease (CKD) which affect outcomes of cirrhosis patients [5]. They are also older and more frailer than those with other etiologies of cirrhosis, which further increases waitlist mortality and decreases the probability of transplant [2, 6–8].
The current model of organ allocation depends on assessment of medical urgency for transplant and mortality on the waiting list using MELD-Na. Due to the paucity of organ supply in relation to demand, patients must often become very sick to attract a deceased donor organ. However, given the changing dynamics of the waitlist population, the risk is that they become too sick for transplant in the process. In the setting of scarce deceased donor organs, living donor liver transplantation (LDLT) represents an important alternative. Access to LDLT shortens the median waiting time and significantly decreases waitlist morbidity and mortality for all waitlisted patients [9, 10]. However, LDLT is not widely available in North America and Europe.
We hypothesized that the evolving demographics of waitlisted patients in recent years renders them at higher risk of dropping out with prolonged waiting time, and that access to LDLT becomes especially important in this context.
Materials and Methods
Study design
We retrospectively reviewed all adult patients listed for LT from November 13th, 2012, to December 31st, 2018, in the Multi-Organ Transplant Program at the University Health Network (UHN) in Toronto, Canada. Our centre performs around 200 LTs annually, of which 50–70 are LDLT. The start date was chosen, as this is when the MELD-Na system was adapted in the province of Ontario to prioritize the need of transplant while on waitlist. All patients were followed from time of listing to LT or dropout or until December 31st, 2020. In our program, NASH cirrhosis was diagnosed either based on findings of significant steatosis on pre-transplant liver biopsy or explant pathology, or presence of risk factors (diabetes, obesity, and metabolic syndrome) in the absence of significant alcohol consumption and no evidence of other etiology on serology or histopathology. Patients listed with NASH concomitant with a predominant secondary etiology of chronic liver disease were categorized under non-NASH group for purpose of analysis. Patients listed with MELD exception points for any reason, hepatoma, fulminant liver failure, combined solid organ/multi-organ transplant, or relisted for transplantation were excluded (Supplementary Figure 1).
A potential living donor (pLD) was defined as an individual who met all 3 criteria: (1) had applied with a medical history form for evaluation as a living donor, (2) was found to be appropriate for donation after the initial screening stage, and (3) had undergone imaging assessment [11, 12]. There is no difference in listing criteria for patients with or without pLD.
Patient characteristics
Demographic and clinical characteristics at the time of listing, including age, sex, body mass index (BMI), blood group, liver disease etiology, decompensation of liver disease such as portosystemic encephalopathy, ascites, variceal bleeding, hepatorenal syndrome (HRS) and spontaneous bacterial peritonitis (SBP), comorbidities including type 2 diabetes mellitus, hypertension, IHD and CKD were documented. Functional capacity was categorized from 1 to 9 using the Clinical Frailty Scale (CFS) [13]. Patients were staged as no (CFS 1 to 3), mild (CFS 4 to 5), moderate (CFS 6) or severe frailty (CFS 7 to 9) [14]. This scoring system has been prospectively evaluated in liver disease patients [15]. All patients were followed from the time of listing to LT or dropout from the waiting list. Dropouts occurred due to death, medical unsuitability, refusal for LT, or improvement of patient to the point where transplantation was no longer required. The study was approved by the Research Ethics Board of the UHN (CAPCR ID 19-5665.0).
Statistical methods
Descriptive analyses
Descriptive statistics were performed for demographic and clinical variables. Counts and proportions were calculated for categorical variables and the differences between patients with and without a potential living donor (pLD) were compared using Chi-squared test or Fisher’s exact test. Mean ± standard deviation and median (range) were calculated for continuous variables and the differences between the pLD and non-pLD group were compared using two sample t-tests or Wilcoxon tests, depending on the distribution of the data.
Cumulative incidence of transplant by pLD status was plotted and group differences were compared using Gray k-sample test. For the complete sample as well as a subgroup of patients who failed to receive a transplant, Kaplan-Meier plot for “time to death or delisting due to medical unsuitability was also plotted and differences between patients with and without a pLD were compared using log-rank test.
Competing risk and survival analyses
To examine whether patients with certain characteristics particularly benefit (with improved access to transplant) from having a pLD, nine patient characteristics of interest were identified based on clinical knowledge and previous literature identifying risk factors for waitlist mortality: age, sex, height, primary etiology, prior history of IHD, diabetes status, frailty, Na-MELD and GFR. Supplementary Table 1 shows the percentage of missing data for these variables.
For each of the 9 characteristics of interest, subgroup analyses were performed where patients were categorized into different subgroups using the cut-off associated with the characteristic’s variable. The cut-offs were selected based on sensitivity analyses. Within each subgroup, cumulative incidence of transplant was plotted comparing pLD and no pLD, while death was treated as a competing risk event. In addition, Gray’s tests were used to examine the effect of pLD on cumulative incidence of transplant. To examine whether the effects of pLD differ between different categories of the same feature, cause-specific hazard models were constructed, and variables included in the models were the characteristics variable, pLD and the characteristics × pLD interaction term. A significant interaction term (p < 0.05) signifies the effects of pLD differ between different categories of the characteristic’s variable, and that patients with certain characteristics particularly benefit from having a pLD and thus improved access to transplant.
Similarly, for each characteristic of interest, the consequences of not getting a transplant were examined. On non-transplanted patients, Kaplan-Meier plots on “time to death or delisting due to bad outcomes” were plotted and stratified by identified factors of interest. Cox Proportional Hazard models were built to determine the effects of these characteristics on survival among non-transplanted patients.
Prediction model
Multiple imputation with Markov Chain Monte Carlo method (MCMC) was used to impute missing values for frailty score, eGFR and height. Missing at random (MAR) assumption was examined, and patient characteristics did systematically differ between patients with or without frailty score, hence satisfied. The imputed dataset was then used to develop a prediction model that predicts a patient’s potential to benefit from having access to living donation. To obtain the derivation and validation sets, stratified random sampling technique was employed to split the original dataset with an 80:20 ratio. On the derivation dataset (n = 689), a prediction model was developed from the 9 identified features, followed by validation on the validation dataset (n = 171). Given the collinearity of GFR and MELD score (collineary coefficient −0.41, p < 0.0001), GFR was excluded from the final model. Time-dependent area under the curves (AUCs), Kaplan-Meier survival curves and cumulative incidences of transplant were plotted and compared. Calibration plots were generated for the developed model to assess prediction estimations in both the derivation dataset and validation dataset. Details of the risk score and prediction model derivation are described in the Supplementary Materials and Methods.
Statistical significance was defined as p-value ≤ 0.05. SAS 9.4 (SAS Institute, Cary, NC, USA) was used to perform statistical analyses.
Data availability statement
The data that support the findings of this study are available on request from the corresponding author. The data are not publicly available due to privacy or ethical restrictions.
Results
Patient characteristics
Out of 2191 patients listed, 860 fulfilled the inclusion criteria and were included in the final analysis (Supplementary Figure 1). The mean age of our patients was 54.6 years; 41.3% were females. 360 (41.8%) patients had a pLD identified. 63% of pLDs were approved as donors. 496 (57.6%) patients underwent LT, 170 (34.2%) were LDLT. Median time to receive a transplant was 75 (0–1725) days. Tables 1 summarize the clinical parameters and waitlist outcomes.
Table 1. Demographic, clinical and laboratory parameters of all patients according to pLD status.
| Total (n = 860) | pLD | ||||||||||||||||||||||||||||||||||||||||||||||||||||||||||||||||||||||||||||||||||||||||||||||||||
| No (n = 500) | Yes (n = 360) | P Value | |||||||||||||||||||||||||||||||||||||||||||||||||||||||||||||||||||||||||||||||||||||||||||||||||
| Age at listing (years) | Mean (SD) | 54.6 (10.40) | 55.1 (9.57) | 53.9 (11.43) | 0.10 | ||||||||||||||||||||||||||||||||||||||||||||||||||||||||||||||||||||||||||||||||||||||||||||||
| ≥60 | 307 (36%) | 179 (36%) | 128 (36%) | 0.94 | |||||||||||||||||||||||||||||||||||||||||||||||||||||||||||||||||||||||||||||||||||||||||||||||
| Sex | Female | 355 (41%) | 178 (36%) | 177 (49%) | <0.001 | ||||||||||||||||||||||||||||||||||||||||||||||||||||||||||||||||||||||||||||||||||||||||||||||
| Height at list (cm) | Mean (SD) | 169.6 (9.79) | 170.1 (9.59) | 168.8 (10.02) | 0.05 | ||||||||||||||||||||||||||||||||||||||||||||||||||||||||||||||||||||||||||||||||||||||||||||||
| <165 | 251 (29%) | 127 (26%) | 124 (34%) | 0.004 | |||||||||||||||||||||||||||||||||||||||||||||||||||||||||||||||||||||||||||||||||||||||||||||||
| <160 | 139 (16%) | 70 (14%) | 69 (19%) | 0.04 | |||||||||||||||||||||||||||||||||||||||||||||||||||||||||||||||||||||||||||||||||||||||||||||||
| Weight at list (Kg) | Mean (SD) | 79.7 (19.46) | 80.6 (19.25) | 78.4 (19.70) | 0.11 | ||||||||||||||||||||||||||||||||||||||||||||||||||||||||||||||||||||||||||||||||||||||||||||||
| BMI at list (Kg/m2) | Mean (SD) | 27.6 (5.81) | 27.8 (5.76) | 27.4 (5.89) | 0.37 | ||||||||||||||||||||||||||||||||||||||||||||||||||||||||||||||||||||||||||||||||||||||||||||||
| >30 | 260 (30%) | 152 (31%) | 108 (30%) | 0.86 | |||||||||||||||||||||||||||||||||||||||||||||||||||||||||||||||||||||||||||||||||||||||||||||||
| Primary diagnosis | AIH | 47 (6%) | 24 (5%) | 23 (6%) | – | ||||||||||||||||||||||||||||||||||||||||||||||||||||||||||||||||||||||||||||||||||||||||||||||
| CC | 34 (4%) | 22 (4%) | 12 (3%) | ||||||||||||||||||||||||||||||||||||||||||||||||||||||||||||||||||||||||||||||||||||||||||||||||
| ALD | 257 (30%) | 185 (37%) | 72 (20%) | ||||||||||||||||||||||||||||||||||||||||||||||||||||||||||||||||||||||||||||||||||||||||||||||||
| HBV | 32 (4%) | 25 (5%) | 7 (2%) | ||||||||||||||||||||||||||||||||||||||||||||||||||||||||||||||||||||||||||||||||||||||||||||||||
| HCV | 129 (15%) | 86 (17%) | 43 (12%) | ||||||||||||||||||||||||||||||||||||||||||||||||||||||||||||||||||||||||||||||||||||||||||||||||
| NASH | 176 (20%) | 92 (19%) | 84 (24%) | ||||||||||||||||||||||||||||||||||||||||||||||||||||||||||||||||||||||||||||||||||||||||||||||||
| PBC | 56 (6%) | 20 (4%) | 36 (10%) | ||||||||||||||||||||||||||||||||||||||||||||||||||||||||||||||||||||||||||||||||||||||||||||||||
| PSC | 87 (10%) | 26 (5%) | 61 (17%) | ||||||||||||||||||||||||||||||||||||||||||||||||||||||||||||||||||||||||||||||||||||||||||||||||
| Others | 42 (5%) | 20 (4%) | 22 (6%) | ||||||||||||||||||||||||||||||||||||||||||||||||||||||||||||||||||||||||||||||||||||||||||||||||
| Comorbidities | HTN | 189 (22%) | 108 (22%) | 81 (22%) | 0.75 | ||||||||||||||||||||||||||||||||||||||||||||||||||||||||||||||||||||||||||||||||||||||||||||||
| DM | 219 (26%) | 121 (24%) | 98 (27%) | 0.32 | |||||||||||||||||||||||||||||||||||||||||||||||||||||||||||||||||||||||||||||||||||||||||||||||
| Insulin Use | 121 (14%) | 65 (13%) | 56 (16%) | 0.29 | |||||||||||||||||||||||||||||||||||||||||||||||||||||||||||||||||||||||||||||||||||||||||||||||
| Dyslipidemia | 108 (13%) | 60 (12%) | 48 (13%) | 0.56 | |||||||||||||||||||||||||||||||||||||||||||||||||||||||||||||||||||||||||||||||||||||||||||||||
| CKD | 44 (5%) | 27 (5%) | 17 (5%) | 0.66 | |||||||||||||||||||||||||||||||||||||||||||||||||||||||||||||||||||||||||||||||||||||||||||||||
| IHD | 53 (6%) | 29 (6%) | 24 (7%) | 0.60 | |||||||||||||||||||||||||||||||||||||||||||||||||||||||||||||||||||||||||||||||||||||||||||||||
| Decompensation (at any time before end of listing) | Encephalopathy | 632 (74%) | 372 (74%) | 260 (72%) | 0.48 | ||||||||||||||||||||||||||||||||||||||||||||||||||||||||||||||||||||||||||||||||||||||||||||||
| Variceal bleeding | 348 (40%) | 214 (43%) | 134 (37%) | 0.10 | |||||||||||||||||||||||||||||||||||||||||||||||||||||||||||||||||||||||||||||||||||||||||||||||
| Ascites | 752 (87%) | 443 (89%) | 309 (86%) | 0.23 | |||||||||||||||||||||||||||||||||||||||||||||||||||||||||||||||||||||||||||||||||||||||||||||||
| Paracentesis- dependent | 430 (50%) | 259 (52%) | 171 (48%) | 0.21 | |||||||||||||||||||||||||||||||||||||||||||||||||||||||||||||||||||||||||||||||||||||||||||||||
| SBP | 178 (21%) | 99 (20%) | 79 (22%) | 0.44 | |||||||||||||||||||||||||||||||||||||||||||||||||||||||||||||||||||||||||||||||||||||||||||||||
| HRS | 194 (23%) | 123 (25%) | 071 (20%) | 0.09 | |||||||||||||||||||||||||||||||||||||||||||||||||||||||||||||||||||||||||||||||||||||||||||||||
| Na MELD (at listing) | Median (Range) | 22.0 (6–54) | 23.0 (7–54) | 20.0 (6–50) | <0.001 | ||||||||||||||||||||||||||||||||||||||||||||||||||||||||||||||||||||||||||||||||||||||||||||||
| <20 | 312 (36.3%) | 151 (30.2%) | 161 (44.7%) | <0.001 | |||||||||||||||||||||||||||||||||||||||||||||||||||||||||||||||||||||||||||||||||||||||||||||||
| Na MELD (before transplant/dropout) | Median (Range) | 24.0 (6–57) | 26.0 (6–50) | 23.0 (6–57) | <0.001 | ||||||||||||||||||||||||||||||||||||||||||||||||||||||||||||||||||||||||||||||||||||||||||||||
| MDRD eGFR ml/min/1.73 m2 | Median (Range) | 75.0 (15–120) | 72.0 (15–120) | 80.0 (15–120) | 0.004 | ||||||||||||||||||||||||||||||||||||||||||||||||||||||||||||||||||||||||||||||||||||||||||||||
| <60 | 310 (36%) | 197 (40%) | 113 (31%) | 0.014 | |||||||||||||||||||||||||||||||||||||||||||||||||||||||||||||||||||||||||||||||||||||||||||||||
| Frailty score at time of listing | Mean (SD) | 4.21 (1.45) | 4.23 (1.46) | 4.18 (1.43) | 0.65 | ||||||||||||||||||||||||||||||||||||||||||||||||||||||||||||||||||||||||||||||||||||||||||||||
| Moderate to severe | 145 (22%) | 082 (22%) | 63 (22%) | 0.88 | |||||||||||||||||||||||||||||||||||||||||||||||||||||||||||||||||||||||||||||||||||||||||||||||
| Missing | 210 | 136 | 74 | ||||||||||||||||||||||||||||||||||||||||||||||||||||||||||||||||||||||||||||||||||||||||||||||||
| ICU stay in last 90 days before end of listing | n (%) | 145 (17%) | 89 (18%) | 56 (16%) | 0.39 | ||||||||||||||||||||||||||||||||||||||||||||||||||||||||||||||||||||||||||||||||||||||||||||||
| Cumulative LOS last 90 days before end of listing | Median (Range) | 1.0 (0–90) | 1.0 (0.–90) | 1.0 (0–90) | 0.17 | ||||||||||||||||||||||||||||||||||||||||||||||||||||||||||||||||||||||||||||||||||||||||||||||
| Missing | 95 | 68 | 27 | – | |||||||||||||||||||||||||||||||||||||||||||||||||||||||||||||||||||||||||||||||||||||||||||||||
| Number of hospitalizations last 90 days before end of listing | Median (Range) | 1.0 (0–16) | 1.0 (0–11) | 1.0 (0–16) | <0.001 | ||||||||||||||||||||||||||||||||||||||||||||||||||||||||||||||||||||||||||||||||||||||||||||||
| Abbreviations: AIH: Autoimmune hepatitis; ALD: Alcoholic liver disease; BMI: Body mass index; CC: Cryptogenic cirrhosis; CKD: Chronic kidney disease; DM: Diabetes mellitus; eGFR: Estimated glomerular filtration rate; HBV: Hepatitis B virus; HCV: Hepatitis C virus; HRS: Hepatorenal syndrome; HTN: Hypertension; ICU: Intensive care unit; IHD: Ischemic heart disease; LOS: Length of stay; NASH: Non-alcoholic steatohepatitis; PBC: Primary biliary cholangitis; pLD: Potential living donor; PSC: Primary sclerosing cholangitis; SBP: Spontaneous bacterial peritonitis; SD: Standard deviation. | |||||||||||||||||||||||||||||||||||||||||||||||||||||||||||||||||||||||||||||||||||||||||||||||||||
Clinical characteristics of patients listed with pLD
Patients listed with a pLD had lower Na-MELD scores (20 (6–50) vs. 23 (7–54); p < 0.001), higher rate of transplant (74.4% vs. 45.6%; p < 0.001), more female (49.2% vs. 35.6%; p < 0.001) and had height <160 cm (19.2% vs. 14.1%; p = 0.04). Tables 1, 2 and Supplementary Table 2 describes the basic demographics. Having a pLD was protective against death or dropout due to medical unsuitability (52% vs. 24%; p < 0.001) (Table 3).
Table 2. Demographic, clinical and laboratory parameters of all patients according to transplant status.
| Total (n = 860) | Transplanted | ||||||||||||||||||||||||||||||||||||||||||||||||||||||||||||||||||||||||||||||||||||||||||||||||||
| No (n = 364) | Yes (n = 496) | P value | |||||||||||||||||||||||||||||||||||||||||||||||||||||||||||||||||||||||||||||||||||||||||||||||||
| Age at listing (years) | Mean (SD) | 54.6 (10.40) | 56.7 (8.98) | 53.1 (11.09) | <0.001 | ||||||||||||||||||||||||||||||||||||||||||||||||||||||||||||||||||||||||||||||||||||||||||||||
| ≥60 | 307 (36%) | 154 (42%) | 153 (31%) | <0.001 | |||||||||||||||||||||||||||||||||||||||||||||||||||||||||||||||||||||||||||||||||||||||||||||||
| Sex | Female | 355 (41%) | 147 (40%) | 208 (42%) | 0.65 | ||||||||||||||||||||||||||||||||||||||||||||||||||||||||||||||||||||||||||||||||||||||||||||||
| Height at list (cm) | Mean (SD) | 169.6 (9.79) | 169.1 (10.20) | 169.9 (9.48) | 0.24 | ||||||||||||||||||||||||||||||||||||||||||||||||||||||||||||||||||||||||||||||||||||||||||||||
| <165 | 251 (29%) | 112 (31%) | 139 (28%) | 0.35 | |||||||||||||||||||||||||||||||||||||||||||||||||||||||||||||||||||||||||||||||||||||||||||||||
| <160 | 139 (16%) | 67 (19%) | 72 (15%) | 0.12 | |||||||||||||||||||||||||||||||||||||||||||||||||||||||||||||||||||||||||||||||||||||||||||||||
| Weight at list (Kg) | Mean (SD) | 79.7 (19.46) | 79.7 (20.70) | 79.6 (18.52) | 0.94 | ||||||||||||||||||||||||||||||||||||||||||||||||||||||||||||||||||||||||||||||||||||||||||||||
| BMI at list (Kg/m2) | Mean (SD) | 27.6 (5.81) | 27.8 (6.04) | 27.5 (5.65) | 0.50 | ||||||||||||||||||||||||||||||||||||||||||||||||||||||||||||||||||||||||||||||||||||||||||||||
| >30 | 260 (30%) | 114 (32%) | 146 (30%) | 0.50 | |||||||||||||||||||||||||||||||||||||||||||||||||||||||||||||||||||||||||||||||||||||||||||||||
| Primary diagnosis | AIH | 47 (6%) | 19 (5%) | 28 (6%) | – | ||||||||||||||||||||||||||||||||||||||||||||||||||||||||||||||||||||||||||||||||||||||||||||||
| CC | 34 (4%) | 21 (6%) | 13 (3%) | ||||||||||||||||||||||||||||||||||||||||||||||||||||||||||||||||||||||||||||||||||||||||||||||||
| ALD | 257 (30%) | 130 (37%) | 127 (26%) | ||||||||||||||||||||||||||||||||||||||||||||||||||||||||||||||||||||||||||||||||||||||||||||||||
| HBV | 32 (4%) | 12 (3%) | 20 (4%) | ||||||||||||||||||||||||||||||||||||||||||||||||||||||||||||||||||||||||||||||||||||||||||||||||
| HCV | 129 (15%) | 67 (18%) | 62 (12%) | ||||||||||||||||||||||||||||||||||||||||||||||||||||||||||||||||||||||||||||||||||||||||||||||||
| NASH | 176 (20%) | 65 (18%) | 111 (22%) | ||||||||||||||||||||||||||||||||||||||||||||||||||||||||||||||||||||||||||||||||||||||||||||||||
| PBC | 56 (6%) | 19 (5%) | 37 (7%) | ||||||||||||||||||||||||||||||||||||||||||||||||||||||||||||||||||||||||||||||||||||||||||||||||
| PSC | 87 (10%) | 19 (5%) | 68 (14%) | ||||||||||||||||||||||||||||||||||||||||||||||||||||||||||||||||||||||||||||||||||||||||||||||||
| Others | 42 (5%) | 12 (3%) | 30 (6%) | ||||||||||||||||||||||||||||||||||||||||||||||||||||||||||||||||||||||||||||||||||||||||||||||||
| Comorbidities | HTN | 189 (22%) | 79 (22%) | 110 (22%) | 0.87 | ||||||||||||||||||||||||||||||||||||||||||||||||||||||||||||||||||||||||||||||||||||||||||||||
| DM | 219 (26%) | 94 (26%) | 125 (25%) | 0.84 | |||||||||||||||||||||||||||||||||||||||||||||||||||||||||||||||||||||||||||||||||||||||||||||||
| Insulin Use | 121 (14%) | 50 (14%) | 71 (14%) | 0.81 | |||||||||||||||||||||||||||||||||||||||||||||||||||||||||||||||||||||||||||||||||||||||||||||||
| Dyslipidemia | 108 (13%) | 50 (14%) | 58 (12%) | 0.37 | |||||||||||||||||||||||||||||||||||||||||||||||||||||||||||||||||||||||||||||||||||||||||||||||
| CKD | 44 (5%) | 21 (6%) | 23 (5%) | 0.46 | |||||||||||||||||||||||||||||||||||||||||||||||||||||||||||||||||||||||||||||||||||||||||||||||
| IHD | 53 (6%) | 26 (7%) | 27 (5%) | 0.31 | |||||||||||||||||||||||||||||||||||||||||||||||||||||||||||||||||||||||||||||||||||||||||||||||
| Decompensation (at any time before end of listing) | Encephalopathy | 632 (74%) | 262 (72%) | 370 (75%) | 0.39 | ||||||||||||||||||||||||||||||||||||||||||||||||||||||||||||||||||||||||||||||||||||||||||||||
| Variceal bleeding | 348 (40%) | 150 (41%) | 198 (40%) | 0.70 | |||||||||||||||||||||||||||||||||||||||||||||||||||||||||||||||||||||||||||||||||||||||||||||||
| Ascites | 752 (87%) | 323 (89%) | 429 (86%) | 0.33 | |||||||||||||||||||||||||||||||||||||||||||||||||||||||||||||||||||||||||||||||||||||||||||||||
| Paracentesis- dependent | 430 (50%) | 198 (54%) | 232 (47%) | 0.027 | |||||||||||||||||||||||||||||||||||||||||||||||||||||||||||||||||||||||||||||||||||||||||||||||
| SBP | 178 (21%) | 84 (23%) | 94 (19%) | 0.14 | |||||||||||||||||||||||||||||||||||||||||||||||||||||||||||||||||||||||||||||||||||||||||||||||
| HRS | 194 (23%) | 075 (21%) | 119 (24%) | 0.24 | |||||||||||||||||||||||||||||||||||||||||||||||||||||||||||||||||||||||||||||||||||||||||||||||
| Na MELD (at listing) | Median (Range) | 22.0 (6–54) | 20.5 (7 – 54) | 23.0 (6–50) | <0.001 | ||||||||||||||||||||||||||||||||||||||||||||||||||||||||||||||||||||||||||||||||||||||||||||||
| <20 | 312 (36.3%) | 161 (44.2%) | 151 (30.4%) | <0.001 | |||||||||||||||||||||||||||||||||||||||||||||||||||||||||||||||||||||||||||||||||||||||||||||||
| Na MELD (before transplant/dropout) | Median (Range) | 24.0 (6–57) | 22.0 (7–57) | 26.0 (6–51) | <0.001 | ||||||||||||||||||||||||||||||||||||||||||||||||||||||||||||||||||||||||||||||||||||||||||||||
| MDRD eGFR ml/min/1.73 m2 | Median (Range) | 75.0 (15–120) | 74.0 (15–120) | 77.5 (15–120) | 0.09 | ||||||||||||||||||||||||||||||||||||||||||||||||||||||||||||||||||||||||||||||||||||||||||||||
| <60 | 310 (36%) | 137 (38%) | 173 (35%) | 0.37 | |||||||||||||||||||||||||||||||||||||||||||||||||||||||||||||||||||||||||||||||||||||||||||||||
| Frailty score at time of listing | Mean (SD) | 4.21 (1.45) | 4.41 (1.54) | 4.06 (1.35) | 0.002 | ||||||||||||||||||||||||||||||||||||||||||||||||||||||||||||||||||||||||||||||||||||||||||||||
| Moderate to severe | 145 (22%) | 80 (28%) | 65 (18%) | 0.001 | |||||||||||||||||||||||||||||||||||||||||||||||||||||||||||||||||||||||||||||||||||||||||||||||
| Missing | 210 | 81 | 129 | ||||||||||||||||||||||||||||||||||||||||||||||||||||||||||||||||||||||||||||||||||||||||||||||||
| ICU stay in last 90 days before end of listing | n (%) | 145 (17%) | 82 (22%) | 63 (13%) | <0.001 | ||||||||||||||||||||||||||||||||||||||||||||||||||||||||||||||||||||||||||||||||||||||||||||||
| Cumulative LOS last 90 days before end of listing | Median (Range) | 1.0 (0–90) | 0.0 (0–90) | 2.0 (0–90) | <0.001 | ||||||||||||||||||||||||||||||||||||||||||||||||||||||||||||||||||||||||||||||||||||||||||||||
| Missing | 95 | 54 | 41 | – | |||||||||||||||||||||||||||||||||||||||||||||||||||||||||||||||||||||||||||||||||||||||||||||||
| Number of hospitalizations last 90 days before end of listing | Median (Range) | 1.0 (0–16) | 0.0 (0–10) | 1.0 (0–16) | <0.001 | ||||||||||||||||||||||||||||||||||||||||||||||||||||||||||||||||||||||||||||||||||||||||||||||
| Abbreviations: AIH: Autoimmune hepatitis; ALD: Alcoholic liver disease; BMI: Body mass index; CC: Cryptogenic cirrhosis; CKD: Chronic kidney disease; DM: Diabetes mellitus; eGFR: Estimated glomerular filtration rate; HBV: Hepatitis B virus; HCV: Hepatitis C virus; HRS: Hepatorenal syndrome; HTN: Hypertension; ICU: Intensive care unit; IHD: Ischemic heart disease; LOS: Length of stay; NASH: Non-alcoholic steatohepatitis; PBC: Primary biliary cholangitis; pLD: Potential living donor; PSC: Primary sclerosing cholangitis; SBP: Spontaneous bacterial peritonitis; SD: Standard deviation. | |||||||||||||||||||||||||||||||||||||||||||||||||||||||||||||||||||||||||||||||||||||||||||||||||||
Table 3. Waitlist outcomes of all patients.
| Total (N = 860) | pLD | Transplanted | |||||||||||||||||||||||||||||||||||||||||||||||||||||||||||||||||||||||||||||||||||||||||||||||||
| No (N = 500) | Yes (N = 360) | P Value | No (N = 364) | Yes (N = 496) | P value | ||||||||||||||||||||||||||||||||||||||||||||||||||||||||||||||||||||||||||||||||||||||||||||||
| Time on waitlist (Days) | Median (Range) | 103 (0–1903) | 97 (0–1903) | 106.5 (3–1819) | 0.14 | 215 (3–1903) | 75 (0–1725) | <0.001 | |||||||||||||||||||||||||||||||||||||||||||||||||||||||||||||||||||||||||||||||||||||||||||
| Time to receive transplant (Days) | Median (Range) | 75 (0–1725) | 28 (0–1511) | 94 (4–1725) | <0.001 | – | 74.5 (0–1725) | – | |||||||||||||||||||||||||||||||||||||||||||||||||||||||||||||||||||||||||||||||||||||||||||
| pLD | Yes | 360 (42%) | – | – | – | 92 (25%) | 268 (54%) | <0.001 | |||||||||||||||||||||||||||||||||||||||||||||||||||||||||||||||||||||||||||||||||||||||||||
| Outcome | Active Listing | 20 (2%) | 14 (3%) | 6 (2%) | <0.001 | 20 (6%) | 0 | <0.001 | |||||||||||||||||||||||||||||||||||||||||||||||||||||||||||||||||||||||||||||||||||||||||||
| De-listed | 147 (17%) | 120 (24%) | 27 (8%) | 147 (40%) | 0 | ||||||||||||||||||||||||||||||||||||||||||||||||||||||||||||||||||||||||||||||||||||||||||||||
| Died | 197 (23%) | 138 (28%) | 59 (16%) | 197 (54%) | 0 | ||||||||||||||||||||||||||||||||||||||||||||||||||||||||||||||||||||||||||||||||||||||||||||||
| Transplant | 496 (58%) | 228 (45%) | 268 (74%) | 0 | 496 (100%) | ||||||||||||||||||||||||||||||||||||||||||||||||||||||||||||||||||||||||||||||||||||||||||||||
| Type of Liver Transplant | DDLT | 326 (66%) | 226 (99%) | 100 (37%) | <0.001 | 0 | 326 (66%) | – | |||||||||||||||||||||||||||||||||||||||||||||||||||||||||||||||||||||||||||||||||||||||||||
| LDLT | 170 (34%) | 2 (1%) | 168 (63%) | 0 | 170 (34%) | ||||||||||||||||||||||||||||||||||||||||||||||||||||||||||||||||||||||||||||||||||||||||||||||
| Abbreviations: DDLT: Deceased donor liver transplant; LDLT: Living donor liver transplant; NASH: Non-alcoholic steatohepatitis; pLD: Potential living donor; SD: Standard deviation. | |||||||||||||||||||||||||||||||||||||||||||||||||||||||||||||||||||||||||||||||||||||||||||||||||||
Competing risk analysis of access to liver transplant
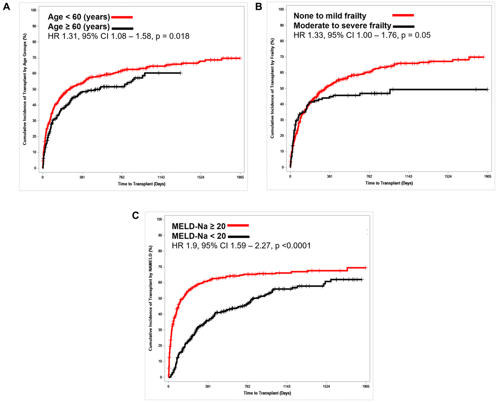
Cumulative incidence of transplant in NASH and non-NASH patients was similar (HR = 1.10 (95% CI = 0.90–1.34), p = 0.39). Higher instantaneous rate of transplant (higher probability of having a transplant at any given time point) was observed in patients with age <60 (HR: 1.31 (95% CI: 1.08–1.58), p = 0.019), MELD-Na >20 (HR: 1.9 (95% CI: 1.59–2.27), p < 0.0001), and no/mild frailty (HR: 1.33 (95% CI: 1.00–1.76), p = 0.05) (Figure 1). A trend was seen for height >160 cm (HR: 1.25 (95% CI: 0.99–1.59), p = 0.08). However, no impact of eGFR, sex, obesity, presence of DM or history of IHD was seen on rate of transplant.

Figure 1. Competing risk analysis for time to transplant stratified. (A) Age, (B) Frailty and (C) MELD-Na.
Waitlist outcomes
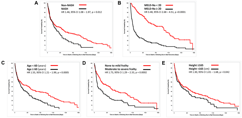
Patients who either died or were delisted, were older (56.7 ± 8.98 vs. 53.1 ± 11.09 years; p < 0.001), moderate to severely frail (28.3% vs. 17.7%; p = 0.001), and had longer waitlist time (215 vs. 75 days, p < 0.001) (Tables 2, 3).
High waitlist mortality/dropout was seen in patients with NASH etiology (HR: 1.46 (95% CI: 1.08–1.97), p = 0.01), age >60 (HR: 1.55 (95% CI: 1.21–1.99), p = 0.0005), MELD-Na >20 (HR: 3.48 (95% CI: 2.68–4.51), p < 0.0001), eGFR <60 (HR: 2.15 (95% CI: 1.68–2.75)), p < 0.0001), height <165 (HR: 1.30 (95% CI: 1.01–1.68), p = 0.04), and moderate to severe frailty (HR: 1.73 (95% CI: 1.29–2.33), p = 0.0002) (Figure 2). No difference was observed in sex, height <160 cm, obesity, presence of DM or IHD.

Figure 2. Kaplan-Meier – Overall Survival: time to death or delisting of non-transplanted patients stratified. (A) Etiology of liver disease, (B) MELD-Na, (C) Age, (D) Frailty, (E) Height.
Interaction of pLD with risk factors
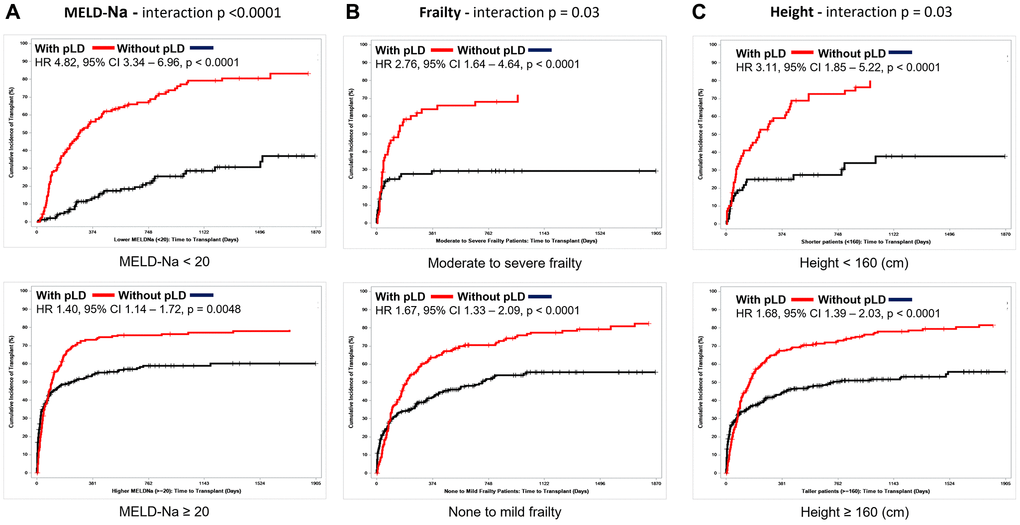
Having a pLD was associated with a higher instantaneous rate of receiving a transplant for both NASH (HR = 1.59 (95% CI = 1.09–2.31), p = 0.026) and non-NASH (HR = 1.84 (95% CI = 1.51–2.25), p < 0.0001) waitlisted cirrhosis patients. Although the magnitude of effect of pLD seems larger in non-NASH patients, there was no statistically significant difference in the effect of pLD in the two groups (interaction p = 0.35). Similarly, the benefit of pLD was evident regardless of age, sex, obesity, and presence of DM or IHD, but patients with MELD-Na <20 (interaction p < 0.0001), moderate to severe frailty (interaction p = 0.03), and height <160 cm (interaction p = 0.03) especially benefited (Figure 3 and Supplementary Table 3).

Figure 3. Competing risk analysis for time to transplant stratified by availability of potential living donor for patients. (A) MELD-Na <20 vs. MELD-Na ≥20; interaction p < 0.0001, (B) Moderate to severe frailty vs. None to mild frailty; interaction p = 0.03, and (C) Height <160 cm vs. ≥160 cm; interaction p = 0.03.
Prediction model
We derived a prediction model using cause-specific hazard modelling as described in supplementary methods to identify patients specifically benefitting from pLD. Below is the formula derived to calculate the prediction model:
Prediction model = (−0.17452) × NASH + (−0.00776) × Age + 0.41977 × sex + 0.08806 × DM + 0.35825 × IHD + (−0.07902) × MELD-NA + (0.11491) × Frailty + (−0.03905) × Height.
The cut-off score was −8.16. On the derivation set using the cause-specific hazard model, pLD was significantly associated with increased cumulative incidence of transplant in patients with high prediction score (>> −8.16) (HR 4.08 (2.96–5.62), p < 0.0001) (Supplementary Table 3). In patients with low prediction score (≤ −8.16), having pLD was not associated with any difference in rate/time to transplant (p = 0.89) (Supplementary Table 3). The interaction was significant, indicating the effect of having a pLD differed significantly by prediction score level (group p < 0.0001) (Supplementary Table 3 and Figure 4). The AUCs of the prediction model were 0.82 and 0.84 in the derivation and validation datasets respectively (Figure 4). The model’s calibration is provided in Supplementary Figure 2.

Figure 4. Prediction model performance. (A) Competing risk analysis for time to transplant stratified by availability of potential living donor for patients with Prediction score low vs. high on derivation set; interaction p < 0.0001. (B) Competing risk analysis for time to transplant stratified by availability of potential living donor for patients with Prediction score low vs. high on validation set; interaction p = 0.05. (C) Prediction Model area under curve on derivation set (0.82). (D) Prediction Model area under curve on validation set (0.84).
Discussion
Our study identifies that certain patient subgroups (short stature, MELD <20, and moderate to severe frailty) are at the highest risk for waitlist mortality with prolonged waiting time for a deceased donor organ offer. These patient subgroups, which represent a growing share of the waitlist population in recent years, would be especially protected against death or delisting if they had access to living donation at the time of listing. Certainly, LDLT is beneficial to all, with improved waitlist mortality and post-transplant outcomes.
The recent years have seen a significant increase in NASH as indication for transplant, and increasing age, frailty, and metabolic comorbidities among candidates. Moreover, NASH patients tend to have lower MELD-Na scores, slower progression of disease, [16, 17] and carry higher risk of waitlist mortality [18]. The 1-year survival on the waitlist for NASH-related cirrhosis patients have dropped from 42.8% to 25.6% over the last decade, and they are less likely to attract a deceased donor organ within the initial 90 days of listing [3]. In a recent large study based on SRTR data, NASH etiology was significantly associated with waitlist mortality [19]. In our study, the cumulative incidence of transplant was similar in NASH and non-NASH patients, though we confirmed the earlier findings of higher waitlist mortality for NASH patients as compared to non-NASH.
Frailty is associated with high waitlist mortality, [20, 21] especially in patients older than 65 years of age, [22] and independent of encephalopathy or ascites [23]. In a retrospective analysis, a higher frailty score was associated with an increased risk of delisting in NASH patients (HR1.46 (CI 1.06–2.03), p = 0.02) [7]. A recent multicenter study showed association of frailty with higher risk of waitlist mortality independent of age [24]. In our study, patients with none to mild frailty tended to have higher instantaneous rate of transplant while moderate to severely frail patients suffered significantly higher waitlist mortality and benefited from access to living donation.
Females are disadvantaged by the MELD scoring system for various reasons, including but not limited to low muscle mass and serum creatinine. Height also contributes to this sex disparity [25, 26]. One possible reasoning behind this occurrence is that people who are of short stature require smaller organs, which are mostly allocated to children. As a result, shorter individuals at the top of the waiting list for liver transplantation may have to wait longer to receive a liver that is a suitable size and fit for their body. Given the fact that women are shorter as compare to men, this increased mortality in shorter patients is the main driver of gender disparity in waitlist mortality [25]. We have previously shown that females can overcome this allocation inequity with access to living donation [27]. In current study we used a subset of same data by excluding all HCC patients. Although we did not find any direct impact of sex on rate of transplant, short-statured patients had a trend towards inferior transplant rate and significantly higher waitlist mortality (for height <165 cm) and significant benefit from pLD (for height <160 cm). This again supports the previous findings of high mortality/delisting (28% vs. 24%, p < 0.01), low transplant rates (38% vs. 44% p < 0.01), and 8% increased risk of waitlist mortality after adjustment for clinical and demographic characteristics (P < .01) in short-statured patients [28]. Furthermore, granting an extra 1, 2 MELD points to the shortest 8% of liver transplant (LT) candidates could potentially improve waitlist outcomes for female candidates [29].
High Na-MELD score is associated with increased risk of waitlist removal due to mortality or deterioration in medical condition [2]. The discrepancy between the supply and demand of deceased donor organs has resulted in longer waiting times and high waitlist mortality. To attract an organ, patients need to have high MELD score, but are at risk of becoming too sick/frail for transplant. Access to LDLT not only shortens the median waiting time and thereby significantly decreases waitlist morbidity and mortality, [9, 10] but also provides the opportunity to transplant patients earlier in their disease course while they are still fit enough to undergo transplant.
Our study clearly showed that all patients benefit from access to living donation, but pLD specifically increases the chances of getting a liver transplant and at a faster rate for the vulnerable groups i.e., frail, short stature, and low Na-MELD score. We also created a prediction model to highlight the benefit of pLD for these specific subgroups with good AUCs of ≥0.8 in both testing and validation sets. For patients with score less than −8.16, whether they get a pLD or not does not affect their potential to access transplant. For patients with score higher than −8.16, having a pLD significantly increases access to LT compared to if they do not have a pLD. These individuals might otherwise have a prolonged wait for a deceased donor offer and either die or drop off the waitlist. Table 4 describes examples of four patients having high prediction score with and without pLD, where our prediction model accurately predicted their outcome. This unique prediction model can help clinicians to identify these high-risk patients and refer them for living donation on a priority basis to a centre that performs LDLT.
Table 4. Patient examples.
| Patient 1 | Patient 2 | Patient 3 | Patient 4 | ||||||||||||||||||||||||||||||||||||||||||||||||||||||||||||||||||||||||||||||||||||||||||||||||
| Age at listing (years) | 64 | 66 | 66 | 64 | |||||||||||||||||||||||||||||||||||||||||||||||||||||||||||||||||||||||||||||||||||||||||||||||
| Sex | Male | Male | Female | Female | |||||||||||||||||||||||||||||||||||||||||||||||||||||||||||||||||||||||||||||||||||||||||||||||
| Blood group | A | A | O | B | |||||||||||||||||||||||||||||||||||||||||||||||||||||||||||||||||||||||||||||||||||||||||||||||
| Etiology | Alcohol | NASH | PBC | Cryptogenic cirrhosis | |||||||||||||||||||||||||||||||||||||||||||||||||||||||||||||||||||||||||||||||||||||||||||||||
| Height (cm) | 157 | 168 | 157 | 157 | |||||||||||||||||||||||||||||||||||||||||||||||||||||||||||||||||||||||||||||||||||||||||||||||
| Weight (Kg) | 72.5 | 101.1 | 84 | 60 | |||||||||||||||||||||||||||||||||||||||||||||||||||||||||||||||||||||||||||||||||||||||||||||||
| BMI (kg/m2) | 29.4 | 35.8 | 34 | 24 | |||||||||||||||||||||||||||||||||||||||||||||||||||||||||||||||||||||||||||||||||||||||||||||||
| Hypertension | Yes | No | No | No | |||||||||||||||||||||||||||||||||||||||||||||||||||||||||||||||||||||||||||||||||||||||||||||||
| Diabetes | Yes | Yes | No | No | |||||||||||||||||||||||||||||||||||||||||||||||||||||||||||||||||||||||||||||||||||||||||||||||
| CKD | No | Yes | No | No | |||||||||||||||||||||||||||||||||||||||||||||||||||||||||||||||||||||||||||||||||||||||||||||||
| IHD | No | No | No | No | |||||||||||||||||||||||||||||||||||||||||||||||||||||||||||||||||||||||||||||||||||||||||||||||
| Encephalopathy | Yes | Yes | Yes | No | |||||||||||||||||||||||||||||||||||||||||||||||||||||||||||||||||||||||||||||||||||||||||||||||
| Variceal bleed | No | No | Yes | No | |||||||||||||||||||||||||||||||||||||||||||||||||||||||||||||||||||||||||||||||||||||||||||||||
| Ascites | Yes | Yes | Yes | No | |||||||||||||||||||||||||||||||||||||||||||||||||||||||||||||||||||||||||||||||||||||||||||||||
| SBP | Yes | No | No | No | |||||||||||||||||||||||||||||||||||||||||||||||||||||||||||||||||||||||||||||||||||||||||||||||
| HRS | No | No | No | No | |||||||||||||||||||||||||||||||||||||||||||||||||||||||||||||||||||||||||||||||||||||||||||||||
| Na-MELD at listing | 18 | 11 | 33 | 33 | |||||||||||||||||||||||||||||||||||||||||||||||||||||||||||||||||||||||||||||||||||||||||||||||
| eGFR at listing (ml/min/1.73 m2) | 79 | 57 | 89 | 72 | |||||||||||||||||||||||||||||||||||||||||||||||||||||||||||||||||||||||||||||||||||||||||||||||
| Clinical Frailty Score at listing | 4 | 7 | 6 | 2 | |||||||||||||||||||||||||||||||||||||||||||||||||||||||||||||||||||||||||||||||||||||||||||||||
| Frailty group at listing | None to mild | Moderate to severe | Moderate to severe | None to mild | |||||||||||||||||||||||||||||||||||||||||||||||||||||||||||||||||||||||||||||||||||||||||||||||
| Prediction score | −8.12 | −7.71 | −9.85 | −10.11 | |||||||||||||||||||||||||||||||||||||||||||||||||||||||||||||||||||||||||||||||||||||||||||||||
| Prediction score group | High | High | Low | Low | |||||||||||||||||||||||||||||||||||||||||||||||||||||||||||||||||||||||||||||||||||||||||||||||
| pLD | No | Yes | No | No | |||||||||||||||||||||||||||||||||||||||||||||||||||||||||||||||||||||||||||||||||||||||||||||||
| Time on waiting list (days) | 1184 | 159 | 25 | 14 | |||||||||||||||||||||||||||||||||||||||||||||||||||||||||||||||||||||||||||||||||||||||||||||||
| Outcome | Death | LDLT | Death | Death | |||||||||||||||||||||||||||||||||||||||||||||||||||||||||||||||||||||||||||||||||||||||||||||||
| Abbreviations: NASH: Nonalcoholic steatohepatitis; CKD: Chronic kidney disease; IHD: Ischemic heart disease; SBP: Spontaneous bacterial peritonitis; HRS: Hepatorenal syndrome; eGFR: Estimated glomerular filtration rate; pLD: Potential living donor; LDLT: Living donor liver transplant. | |||||||||||||||||||||||||||||||||||||||||||||||||||||||||||||||||||||||||||||||||||||||||||||||||||
Study limitations
The principal limitations of our study were that it was single center. However, being one of the largest transplant centers in North America, despite using extensive exclusion criteria, we ended up having enough patients to create and validate a prediction model. Moreover, such a study is not possible to perform with the SRTR or other such large transplant databases, as information regarding the availability of a pLD for a specific patient is not available. These registries only contain the information whether a patient ultimately received a living donor versus deceased donor transplant. It should also be noted that our study findings pertain only to those decompensated cirrhosis patients who were deemed to be suitable candidates for transplant. Certainly, many patients may not be listed for transplant due to the presence of significant comorbidities that represent a contraindication. We also acknowledge that the clinical frailty score may not be optimal as an assessment of frailty, however the retrospective nature of our study prevented the use of more robust tools such as the Liver Frailty Index. While no difference in rate of transplant was observed for low-risk patients, we do not advocate against the use of living donation in this group. One should also keep in mind the other LDLT specific issues such as size matching and patient sickness level, where LDLT may not be a feasible option. Moreover, further studies would be required to validate our prediction model externally in a more heterogenous group of patients.
Conclusion
Both NASH and non-NASH cirrhosis patients on the waitlist benefit from access to a living donor, by optimizing the timing of transplant for the subgroups identified (moderate to severe frailty, short stature, and MELD-Na <20). Our model could be used to guide referral of such high-risk subgroup patients to LDLT centres earlier in their course and save more lives.
Author Contributions
FQ, SC, CC, RK, WX, MB contributed to conception and design. FQ, SC, CC, NSS, RK, WX, MB contributed to acquisition of data, or analysis and interpretation of data. FQ, SC, CC, NSS, MB contributed to drafting the article. FQ, SC, NSS, RK, WX, SA, ZG, GH, KP, CT, NS, MC, LL, MB contributed to revising it critically for important intellectual content. All authors approved the final version to be published.
Acknowledgments
We would like to thank Cathy Yang and Raj Uchila for their help in data collection and Marc Angeli and Elisa Pasini for their help in preparation of the submission.
Conflicts of Interest
The authors declare no conflicts of interest related to this study.
Ethical Statement and Consent
The study was approved by the Research Ethics Board of the University Health Network (CAPCR ID 19-5665.0). Patient’s consents were waived given the retrospective chart review.
Funding
MB acknowledges funding support from the American Society of Transplantation, Canadian Donation and Transplant Research Program, Canadian Liver Foundation, Toronto General and Western Hospital Foundation.
References
- 1. Kwong AJ, Kim WR, Lake JR, Smith JM, Schladt DP, Skeans MA, Noreen SM, Foutz J, Booker SE, Cafarella M, Snyder JJ, Israni AK, Kasiske BL. OPTN/SRTR 2019 Annual Data Report: Liver. Am J Transplant. 2021 (Suppl 2); 21:208–315. https://doi.org/10.1111/ajt.16494 [PubMed]
- 2. Su F, Yu L, Berry K, Liou IW, Landis CS, Rayhill SC, Reyes JD, Ioannou GN. Aging of Liver Transplant Registrants and Recipients: Trends and Impact on Waitlist Outcomes, Post-Transplantation Outcomes, and Transplant-Related Survival Benefit. Gastroenterology. 2016; 150:441–53.e6. https://doi.org/10.1053/j.gastro.2015.10.043 [PubMed]
- 3. Goldberg D, Ditah IC, Saeian K, Lalehzari M, Aronsohn A, Gorospe EC, Charlton M. Changes in the Prevalence of Hepatitis C Virus Infection, Nonalcoholic Steatohepatitis, and Alcoholic Liver Disease Among Patients With Cirrhosis or Liver Failure on the Waitlist for Liver Transplantation. Gastroenterology. 2017; 152:1090–9.e1. https://doi.org/10.1053/j.gastro.2017.01.003 [PubMed]
- 4. Cholankeril G, Wong RJ, Hu M, Perumpail RB, Yoo ER, Puri P, Younossi ZM, Harrison SA, Ahmed A. Liver Transplantation for Nonalcoholic Steatohepatitis in the US: Temporal Trends and Outcomes. Dig Dis Sci. 2017; 62:2915–22. https://doi.org/10.1007/s10620-017-4684-x [PubMed]
- 5. Qazi Arisar FA, Abid S, Shaikh PA, Awan S. Impact of sepsis and non-communicable diseases on prognostic models to predict the outcome of hospitalized chronic liver disease patients. World J Hepatol. 2018; 10:944–55. https://doi.org/10.4254/wjh.v10.i12.944 [PubMed]
- 6. Durand F, Levitsky J, Cauchy F, Gilgenkrantz H, Soubrane O, Francoz C. Age and liver transplantation. J Hepatol. 2019; 70:745–58. https://doi.org/10.1016/j.jhep.2018.12.009 [PubMed]
- 7. Bhanji RA, Narayanan P, Moynagh MR, Takahashi N, Angirekula M, Kennedy CC, Mara KC, Dierkhising RA, Watt KD. Differing Impact of Sarcopenia and Frailty in Nonalcoholic Steatohepatitis and Alcoholic Liver Disease. Liver Transpl. 2019; 25:14–24. https://doi.org/10.1002/lt.25346 [PubMed]
- 8. Ebadi M, Montano-Loza AJ. Sarcopenia and Frailty in the Prognosis of Patients on the Liver Transplant Waiting List. Liver Transpl. 2019; 25:7–9. https://doi.org/10.1002/lt.25386 [PubMed]
- 9. Shah SA, Levy GA, Greig PD, Smith R, McGilvray ID, Lilly LB, Girgrah N, Cattral MS, Grant DR. Reduced mortality with right-lobe living donor compared to deceased-donor liver transplantation when analyzed from the time of listing. Am J Transplant. 2007; 7:998–1002. https://doi.org/10.1111/j.1600-6143.2006.01692.x [PubMed]
- 10. Berg CL, Gillespie BW, Merion RM, Brown RS
Jr , Abecassis MM, Trotter JF, Fisher RA, Freise CE, Ghobrial RM, Shaked A, Fair JH, Everhart JE, and A2ALL Study Group. Improvement in survival associated with adult-to-adult living donor liver transplantation. Gastroenterology. 2007; 133:1806–13. https://doi.org/10.1053/j.gastro.2007.09.004 [PubMed] - 11. Sapisochin G, Goldaracena N, Laurence JM, Levy GA, Grant DR, Cattral MS. Right lobe living-donor hepatectomy-the Toronto approach, tips and tricks. Hepatobiliary Surg Nutr. 2016; 5:118–26. https://doi.org/10.3978/j.issn.2304-3881.2015.07.03 [PubMed]
- 12. Gorgen A, Goldaracena N, Zhang W, Rosales R, Ghanekar A, Lilly L, Cattral M, Greig P, McCluskey S, McGilvray I, Selzner N, Bhat M, Selzner M, et al. Surgical Complications after Right Hepatectomy for Live Liver Donation: Largest Single-Center Western World Experience. Semin Liver Dis. 2018; 38:134–44. https://doi.org/10.1055/s-0038-1636932 [PubMed]
- 13. Bagshaw SM, Stelfox HT, McDermid RC, Rolfson DB, Tsuyuki RT, Baig N, Artiuch B, Ibrahim Q, Stollery DE, Rokosh E, Majumdar SR. Association between frailty and short- and long-term outcomes among critically ill patients: a multicentre prospective cohort study. CMAJ. 2014; 186:E95–102. https://doi.org/10.1503/cmaj.130639 [PubMed]
- 14. Rockwood K, Theou O. Using the Clinical Frailty Scale in Allocating Scarce Health Care Resources. Can Geriatr J. 2020; 23:210–5. https://doi.org/10.5770/cgj.23.463 [PubMed]
- 15. Tandon P, Tangri N, Thomas L, Zenith L, Shaikh T, Carbonneau M, Ma M, Bailey RJ, Jayakumar S, Burak KW, Abraldes JG, Brisebois A, Ferguson T, Majumdar SR. A Rapid Bedside Screen to Predict Unplanned Hospitalization and Death in Outpatients With Cirrhosis: A Prospective Evaluation of the Clinical Frailty Scale. Am J Gastroenterol. 2016; 111:1759–67. https://doi.org/10.1038/ajg.2016.303 [PubMed]
- 16. Weinmann A, Alt Y, Koch S, Nelles C, Düber C, Lang H, Otto G, Zimmermann T, Marquardt JU, Galle PR, Wörns MA, Schattenberg JM. Treatment and survival of non-alcoholic steatohepatitis associated hepatocellular carcinoma. BMC Cancer. 2015; 15:210. https://doi.org/10.1186/s12885-015-1197-x [PubMed]
- 17. Patel YA, Berg CL, Moylan CA. Nonalcoholic Fatty Liver Disease: Key Considerations Before and After Liver Transplantation. Dig Dis Sci. 2016; 61:1406–16. https://doi.org/10.1007/s10620-016-4035-3 [PubMed]
- 18. O'Leary JG, Landaverde C, Jennings L, Goldstein RM, Davis GL. Patients with NASH and cryptogenic cirrhosis are less likely than those with hepatitis C to receive liver transplants. Clin Gastroenterol Hepatol. 2011; 9:700–4.e1. https://doi.org/10.1016/j.cgh.2011.04.007 [PubMed]
- 19. Cullaro G, Rubin JB, Mehta N, Lai JC. Differential Impact of Age Among Liver Transplant Candidates With and Without Hepatocellular Carcinoma. Liver Transpl. 2020; 26:349–58. https://doi.org/10.1002/lt.25662 [PubMed]
- 20. Lai JC, Feng S, Terrault NA, Lizaola B, Hayssen H, Covinsky K. Frailty predicts waitlist mortality in liver transplant candidates. Am J Transplant. 2014; 14:1870–9. https://doi.org/10.1111/ajt.12762 [PubMed]
- 21. Lai JC, Dodge JL, Sen S, Covinsky K, Feng S. Functional decline in patients with cirrhosis awaiting liver transplantation: Results from the functional assessment in liver transplantation (FrAILT) study. Hepatology. 2016; 63:574–80. https://doi.org/10.1002/hep.28316 [PubMed]
- 22. Wang CW, Covinsky KE, Feng S, Hayssen H, Segev DL, Lai JC. Functional impairment in older liver transplantation candidates: From the functional assessment in liver transplantation study. Liver Transpl. 2015; 21:1465–70. https://doi.org/10.1002/lt.24334 [PubMed]
- 23. Lai JC, Rahimi RS, Verna EC, Kappus MR, Dunn MA, McAdams-DeMarco M, Haugen CE, Volk ML, Duarte-Rojo A, Ganger DR, O'Leary JG, Dodge JL, Ladner D, Segev DL. Frailty Associated With Waitlist Mortality Independent of Ascites and Hepatic Encephalopathy in a Multicenter Study. Gastroenterology. 2019; 156:1675–82. https://doi.org/10.1053/j.gastro.2019.01.028 [PubMed]
- 24. Haugen CE, McAdams-DeMarco M, Holscher CM, Ying H, Gurakar AO, Garonzik-Wang J, Cameron AM, Segev DL, Lai JC. Multicenter Study of Age, Frailty, and Waitlist Mortality Among Liver Transplant Candidates. Ann Surg. 2020; 271:1132–6. https://doi.org/10.1097/SLA.0000000000003207 [PubMed]
- 25. Lai JC, Terrault NA, Vittinghoff E, Biggins SW. Height contributes to the gender difference in wait-list mortality under the MELD-based liver allocation system. Am J Transplant. 2010; 10:2658–64. https://doi.org/10.1111/j.1600-6143.2010.03326.x [PubMed]
- 26. Allen AM, Heimbach JK, Larson JJ, Mara KC, Kim WR, Kamath PS, Therneau TM. Reduced Access to Liver Transplantation in Women: Role of Height, MELD Exception Scores, and Renal Function Underestimation. Transplantation. 2018; 102:1710–6. https://doi.org/10.1097/TP.0000000000002196 [PubMed]
- 27. Karnam RS, Chen S, Xu W, Chen C, Elangainesan P, Ghanekar A, McGilvray I, Reichman T, Sayed B, Selzner M, Sapisochin G, Galvin Z, Hirschfield G, et al. Sex Disparity in Liver Transplant and Access to Living Donation. JAMA Surg. 2021; 156:1010–7. https://doi.org/10.1001/jamasurg.2021.3586 [PubMed]
- 28. Ge J, Lai JC. Identifying a clinically relevant cutoff for height that is associated with a higher risk of waitlist mortality in liver transplant candidates. Am J Transplant. 2020; 20:852–4. https://doi.org/10.1111/ajt.15644 [PubMed]
- 29. Bernards S, Lee E, Leung N, Akan M, Gan K, Zhao H, Sarkar M, Tayur S, Mehta N. Awarding additional MELD points to the shortest waitlist candidates improves sex disparity in access to liver transplant in the United States. Am J Transplant. 2022; 22:2912–20. https://doi.org/10.1111/ajt.17159 [PubMed]



